正航儀器技術部編輯純氮設備性能試驗和檢驗方法
時間:2015-06-16 08:29 來源:正航儀器 作者:正航網絡
正航儀器技術部編輯純氮設備性能試驗和檢驗方法
檢驗分為出廠檢驗和成套性能試驗。
1出廠檢驗
1.1配套的壓力容器必須按《壓力容器安全技術監察規程》規定進行檢驗,并提供相應的質量證明文件。
1.2各單元部機必須按相應部機的產品標準或技術文件在廠內試車合格(如受條件限制必須在現場檢驗時,應在合同中注明),并出具合格證明書。
1.3所有外購、外配件,如電機、壓縮機、電控設備、泵、閥門、儀表及其他部機等,均須有制造廠合格證明書。
1.4硅膠、分子篩、活性氧化鋁和焊絲應進廠復驗合格。
2成套空分設備現場性能檢驗
2.1成套空分設備性能檢驗條件:
2.1.1純氮設備成套性能試驗必須在工況穩定后進行。連續測定時間為48h或按合同規定,每小時測定1次,取其平均值。
2.1.2性能試驗期內所測數據在下列波動范圍內不進行修正:即壓力和溫度在95%~105%,壓差在98%~102%,轉速在97%~103%,頻率在99%~101%范圍內。
2.1.3由于客觀條件限制,測試工況偏離本標準規定或偏離設計工況時,測試結果應予換算。
2.2測量儀表及精度的要求見表7。
2.3產品氮流量的測定
2.3.1測定產品氮流量應與純度測定同步進行,測前應檢查所有管接頭不得有任何泄露或堵塞。
2.3.2流量測量裝置的安裝使用按GB/T 2624的規定。節流裝置的孔板一般采用標準孔板,安裝在出分餾塔的氮氣總管上。
2.3.3產品氮氣的流量可按式(1)加以修正。
式中:p,p1——工作狀態下和設計工況下孔板前氣體壓力,MPa(絕);
T,T1——工作狀態下和設計工況下孔板前氣體溫度,K;
V1——測試時2次儀表的流量讀數,m3/h;
V——修正后的氣體流量,m3/h。
注:流量如經過儀表(溫度、壓力)自動修正,則流量無須經式(1)修正。
2.3.4產品液態氮的測量采用液氮量筒測出每小時的液體體積(或采用稱重法測出每小時的液體質量),應換算至標準狀態下的氣體量。
2.4空氣流量的測定
2.4.1進分餾塔空氣流量應在空氣冷卻塔或分子篩吸附器后的空氣管道上測定。
2.4.2空氣的干燥部分流量測定按GB/T 2624規定。
2.4.3空氣流量按式(2)修正。
式中:ρ,ρ1——空氣密度的實際值和設計計算值,kg/m3;
p,p1——工作狀態下和設計工況下的壓力,MPa(絕);
T,T1——工作狀態下和設計工況下氣體在孔板前的溫度,K;
V,V1——修正后實際流量和儀表讀數,m3/h.。
2.5產品氮純度測定
2.5.1分析氮純度的取樣點在出分餾塔氮氣總管道上。
2.5.2氮氣中氧含量的分析:采用經標準氣校驗過的分析儀表測定或按GB/T 5831規定,發生爭議時,按GB/T 5831規定的測定方法仲裁。
2.6壓縮功耗測定
功率消耗根據電動機輸入功率和電動機效率進行計算。
2.6.1電動機輸入功率按式(3)計算。
式中:N——輸入電動機端子的功率,kW;
I——輸入電流,A;
U——輸入電壓,V;
cosj——功率因數。
2.6.2壓縮功率按式(4)計算。
N1——壓縮機主油泵電耗,kW;
N2——壓縮機潤滑系統抽風機電耗,kW;
N3——膨脹機油泵電耗,kW;
N4——空冷塔水泵電耗,kW;
N5——水冷塔水泵電耗,kW;
N6——水冷塔抽風機電耗,kW。
2.8噪聲測定
2.8.1透平壓縮機噪聲測定方法按GB/T 2888的規定。
2.8.2放空消聲的噪聲測定方法可參照GB/T 2888的規定。
2.8.3測定的噪聲包括輔機噪聲。
2.9振動測定
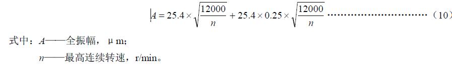
2.9.1透平壓縮機的軸振動值按式(10)計算,或按JB/T 6443執行。
式中:A——全振幅,μm;
n——連續轉速,r/min。
2.9.2透平壓縮機的軸振動在靠近徑向軸承處測定。
2.10儀表投表率計算
2.10.1儀表投表率按式(11)計算。
2.10.2儀表總數為控制室表盤上和(或)計算機控制的測點數,就地的儀表數和分析室分析用儀表數的總和,不包括因用戶原因而無法投運的儀表。
3驗收規則
a純氮設備各單元部機一般應在制造廠試驗合格,受條件限制不能在制造廠進行試驗時,允許在成套設備性能試驗前,在用戶處現場進行試驗。各單元的部機均須檢驗合格才允許投入成套設備的性能試驗。
b成套純氮設備須經48h的連續試驗或按合同規定,各項指標應符合表6或合同要求。
4標志、包裝、運輸及貯存
純氮設備應在明顯位置設置標牌,其尺寸和要求應符合GB/T 13306的規定。
純氮設備的銘牌內容至少應包括:
a)產品型號;
b)產品商標;
c)產品名稱;
d)主要性能;
e)出廠日期;
f)制造廠名。
5純氮設備(含配套機組在內)的出廠技術文件應包括:
a)出廠合格證;
b)使用說明書;
c)安裝技術要求;
d)壓力容器質量證明書、竣工圖;
e)隨機技術文件及圖樣清單(按合同規定的清單提出);
f)裝箱清單;
g)成套交貨范圍。
6純氮設備的包裝運輸參照GB/T 13384和JB/T 2536規定。包裝運輸采取以成套設備為單位,分箱包裝。
7設備安裝前,所有設備應安放在排水暢通或有遮蓋的場所內,離地300mm,妥善保管,并符合單機說明書的有關規定,超過規定的油封期時應重新油封。
8純氮設備到貨后18個月或出廠后24個月(分餾塔整體組裝出廠的設備出廠后18個月)內應安裝運轉。在此期間內,除易損件外的所有零部件,如因制造質量問題影響正常運轉,制造廠應無償地予以修理或更換。
檢驗分為出廠檢驗和成套性能試驗。
1出廠檢驗
1.1配套的壓力容器必須按《壓力容器安全技術監察規程》規定進行檢驗,并提供相應的質量證明文件。
1.2各單元部機必須按相應部機的產品標準或技術文件在廠內試車合格(如受條件限制必須在現場檢驗時,應在合同中注明),并出具合格證明書。
1.3所有外購、外配件,如電機、壓縮機、電控設備、泵、閥門、儀表及其他部機等,均須有制造廠合格證明書。
1.4硅膠、分子篩、活性氧化鋁和焊絲應進廠復驗合格。
2成套空分設備現場性能檢驗
2.1成套空分設備性能檢驗條件:
2.1.1純氮設備成套性能試驗必須在工況穩定后進行。連續測定時間為48h或按合同規定,每小時測定1次,取其平均值。
2.1.2性能試驗期內所測數據在下列波動范圍內不進行修正:即壓力和溫度在95%~105%,壓差在98%~102%,轉速在97%~103%,頻率在99%~101%范圍內。
2.1.3由于客觀條件限制,測試工況偏離本標準規定或偏離設計工況時,測試結果應予換算。
2.2測量儀表及精度的要求見表7。
2.3產品氮流量的測定
2.3.1測定產品氮流量應與純度測定同步進行,測前應檢查所有管接頭不得有任何泄露或堵塞。
2.3.2流量測量裝置的安裝使用按GB/T 2624的規定。節流裝置的孔板一般采用標準孔板,安裝在出分餾塔的氮氣總管上。
2.3.3產品氮氣的流量可按式(1)加以修正。
式中:p,p1——工作狀態下和設計工況下孔板前氣體壓力,MPa(絕);
T,T1——工作狀態下和設計工況下孔板前氣體溫度,K;
V1——測試時2次儀表的流量讀數,m3/h;
V——修正后的氣體流量,m3/h。
注:流量如經過儀表(溫度、壓力)自動修正,則流量無須經式(1)修正。
2.3.4產品液態氮的測量采用液氮量筒測出每小時的液體體積(或采用稱重法測出每小時的液體質量),應換算至標準狀態下的氣體量。
2.4空氣流量的測定
2.4.1進分餾塔空氣流量應在空氣冷卻塔或分子篩吸附器后的空氣管道上測定。
2.4.2空氣的干燥部分流量測定按GB/T 2624規定。
2.4.3空氣流量按式(2)修正。
式中:ρ,ρ1——空氣密度的實際值和設計計算值,kg/m3;
p,p1——工作狀態下和設計工況下的壓力,MPa(絕);
T,T1——工作狀態下和設計工況下氣體在孔板前的溫度,K;
V,V1——修正后實際流量和儀表讀數,m3/h.。
2.5產品氮純度測定
2.5.1分析氮純度的取樣點在出分餾塔氮氣總管道上。
2.5.2氮氣中氧含量的分析:采用經標準氣校驗過的分析儀表測定或按GB/T 5831規定,發生爭議時,按GB/T 5831規定的測定方法仲裁。
2.6壓縮功耗測定
功率消耗根據電動機輸入功率和電動機效率進行計算。
2.6.1電動機輸入功率按式(3)計算。
式中:N——輸入電動機端子的功率,kW;
I——輸入電流,A;
U——輸入電壓,V;
cosj——功率因數。
2.6.2壓縮功率按式(4)計算。
N1——壓縮機主油泵電耗,kW;
N2——壓縮機潤滑系統抽風機電耗,kW;
N3——膨脹機油泵電耗,kW;
N4——空冷塔水泵電耗,kW;
N5——水冷塔水泵電耗,kW;
N6——水冷塔抽風機電耗,kW。
2.8噪聲測定
2.8.1透平壓縮機噪聲測定方法按GB/T 2888的規定。
2.8.2放空消聲的噪聲測定方法可參照GB/T 2888的規定。
2.8.3測定的噪聲包括輔機噪聲。
2.9振動測定
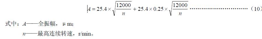
2.9.1透平壓縮機的軸振動值按式(10)計算,或按JB/T 6443執行。
式中:A——全振幅,μm;
n——連續轉速,r/min。
2.9.2透平壓縮機的軸振動在靠近徑向軸承處測定。
2.10儀表投表率計算
2.10.1儀表投表率按式(11)計算。
2.10.2儀表總數為控制室表盤上和(或)計算機控制的測點數,就地的儀表數和分析室分析用儀表數的總和,不包括因用戶原因而無法投運的儀表。
3驗收規則
a純氮設備各單元部機一般應在制造廠試驗合格,受條件限制不能在制造廠進行試驗時,允許在成套設備性能試驗前,在用戶處現場進行試驗。各單元的部機均須檢驗合格才允許投入成套設備的性能試驗。
b成套純氮設備須經48h的連續試驗或按合同規定,各項指標應符合表6或合同要求。
4標志、包裝、運輸及貯存
純氮設備應在明顯位置設置標牌,其尺寸和要求應符合GB/T 13306的規定。
純氮設備的銘牌內容至少應包括:
a)產品型號;
b)產品商標;
c)產品名稱;
d)主要性能;
e)出廠日期;
f)制造廠名。
5純氮設備(含配套機組在內)的出廠技術文件應包括:
a)出廠合格證;
b)使用說明書;
c)安裝技術要求;
d)壓力容器質量證明書、竣工圖;
e)隨機技術文件及圖樣清單(按合同規定的清單提出);
f)裝箱清單;
g)成套交貨范圍。
6純氮設備的包裝運輸參照GB/T 13384和JB/T 2536規定。包裝運輸采取以成套設備為單位,分箱包裝。
7設備安裝前,所有設備應安放在排水暢通或有遮蓋的場所內,離地300mm,妥善保管,并符合單機說明書的有關規定,超過規定的油封期時應重新油封。
8純氮設備到貨后18個月或出廠后24個月(分餾塔整體組裝出廠的設備出廠后18個月)內應安裝運轉。在此期間內,除易損件外的所有零部件,如因制造質量問題影響正常運轉,制造廠應無償地予以修理或更換。
?
本頁關鍵詞:純氮設備性能試驗和檢驗方法







